NASA Logo
OceanColor K490 algorithm evaluation

OceanColor K490 algorithm evaluation

Jeremy Werdell, April 2005

description of the problem

the problem

The current SeaWiFS K490 algorithm (Mueller 2000) overestimates K490 in very clear water, as indicated by the red box.

Note that the diffuse attenuation coefficient for pure seawater, Kw, is between 0.016 and 0.022 1/m (Smith and Baker 1981, Mueller 2000).

Figure from Signorini et al. 2003.
description of the problem

operational equation

The current K490 algorithm is defined as follows:
operation K490 equation
where Kw(490) is 0.016 1/m (Mueller 2000), A is 0.1565 and B is -1.540. The coefficients A and B are estimated via linear regression as indicated in the figure to the right.

Field data are from NOMAD.
description of the problem

updated equation

The linear fit improves for the lowest Kd values if the equation is rewritten as follows:
operation K490 equation
where the constant Kw(490) is removed and A and B are updated to 0.1853 and -1.349, respectively. As before, the coefficients A and B are estimated via linear regression as indicated in the figure to the right. The standard error (root mean square error) and r2 are 0.28 and 0.89, respectively, for the log-transformed data.

Field data are from NOMAD.

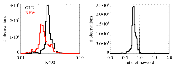
implications

This algorithm update affects only the clearest natural waters. To illustrate this, a MODIS-Aqua granule collected over the South Pacific gyre (A2004210211000.L1A_LAC, centered on -23.5 S and -115.5 W) was processed using both the current and updated algorithmic forms. The updated algorithm reduces K490 in clear water by an average of 20%. Note that the update does not improve the K490 retrieval when the value exceeds 0.3 1/m.

current K490 updated K490 percent difference
current MODIS-Aqua updated MODIS-Aqua percent difference
K490 color bar percent difference color bar


histogram of K490 and percent differences

references

Mueller, J.L. 2000: SeaWiFS algorithm for the diffuse attenuation coefficient, K(490), using water-leaving radiances at 490 and 555 nm. In O'Reilly, J.E. and co-authors: SeaWiFS Postlaunch Calibration and Validation Analyses, Part 3. S.B. Hooker and E.R. Firestone, Eds., NASA/TM-2000-206892, Vol. 11, NASA Goddard Space Flight Center, Greenbelt, Maryland, 24-27.

Signorini, S.R., S.B. Hooker, and C.R. McClain, 2003: Bio-optical and geochemical properties of the south Atlantic subtropical gyre. NASA/TM-2003-212253, NASA Goddard Space Flight Center, Greenbelt, Maryland, 43 pp.

Smith, R.C. and K.S. Baker, 1981: Optical properties of the clearest natural waters (200-800 nm). Applied Optics, 20, 177-184.